欢迎您注册蒲公英
您需要 登录 才可以下载或查看,没有帐号?立即注册
x
本帖最后由 四叶花 于 2015-1-23 13:39 编辑
2014.11.11在国内继续着疯狂双十一消费的同时,美国Threshold Pharmaceuticals公司的新药Evofosfamide也在进行着它的疯狂。
追述到2012年默克公司投资Threshold对该药针对胰腺癌做临床试验,用于评价实验性药物Evofosfamide结合化疗药物gemcitabine在晚期胰腺癌患者治疗中的有效性及安全性,同时以单独使用吉西他滨作为对照。结果其临床效果显著。
到了14年十一月,该药物又进入了FDA快速通道,获得孤儿药资格,用于治疗未经治疗的转移性和局部晚期软组织肉瘤(STS)
孤儿药消息公布后意味着Evofosfamide将在美国市场独占7年欧盟市场独占10年。
这一消息立刻受到了全世界仿药公司和原料药集团的关注,不少已经跃跃欲试磨拳搓掌。
因为一直以来晚期软组织肉瘤相关的胰腺癌在国际上是癌症致死的第4大最常见病因。通常不容易发现,无法通过手术干净切除,在美国只有5%的患者在确诊后能生存5年或5年以上。在中国晚期 5年 < 1%的生存率,近几年胰腺癌在我国成递增趋势。晚期胰腺癌更是被医学界称为"癌症之王"(题外话:乔布斯也死于胰腺癌晚期。)
所以在这个领域只要有一点疗效上的进步,新药必然会得到市场的热捧。
然后合成路线上的秘密,工艺的优化,剂型的优化一切都会按照我们所遇见的速度飞快的推进。
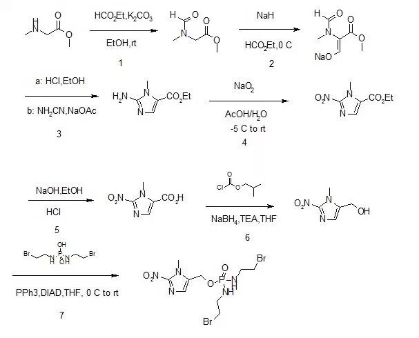
为了把握住新药研发最前沿的信息,我们来看看Evofosfamide的合成路线:

从7步反应条件看,此药物基本分为2个片段。除了对最后的双片段对接。
主要的工作都在6步小环的制备,这样的药物设计也符合近年优先设计小分子化合物的设计趋势,而第3步环合后的4 - 6步都是很好的工艺改进切入点。无论是重氮化还是接下去的乙酯还原,都可能用其他条件替代使得成本降低和收率提高。
而在第3步环合的收率优化包括工艺设计都是很有潜力可挖。(我们也可以试试用胍来环合来得到目标小环,不是么?)
综合上所述:这个药物确实具有充分的优化空间。而整体反应的条件都不算苛刻。
最终按照国内的研究速度,也许新药上市后不久我们就可以看到国内公司在向国际市场提供原药了。
目前,Threshold称此款药物的最终软组织肉瘤分析将于2016年第一季度进行,有可能17 - 18年Evofosfamide就上市哦!
各位大牛们!提高公司盈利,创造千万富翁的倒计时已经开始了!
|