欢迎您注册蒲公英
您需要 登录 才可以下载或查看,没有帐号?立即注册
x
受体相互作用蛋白1(RIP1)可以调节细胞坏死和发炎,在人体病理学上也扮演着重要的角色,如免疫调节和炎症疾病。 Harris等人在早在2016年初即报道了在DNA编码化合物库中找到了一个优秀的抑制RIP1激酶的苯并恶嗪酮类先导化合物(GSK481)。时隔一年,他们再次撰文报道通过优化GSK481得到临床候选化合物(GSK2982772)的过程并展示了其优异的性质。 GSK2982772能够特异性地与RIP1结合,并且高效地阻断TNF依赖的细胞通路。作为一个全新的抗炎症化合物,它能够降低溃疡性结肠炎组织自发产生的细胞因子。由于具有良好的物理化学性质及ADMET,有望成为低剂量口服药物。 目前该化合物正在进行II期临床研究,适应症为斑块状银屑病、类风湿性关节炎、溃疡性结肠炎。此外,已经完成炎性肠疾病的I期临床研究。 GSK2982772的研发进展 数据来源:http://adisinsight.springer.com/drugs/800041722
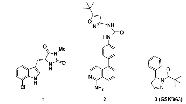
“一个优秀药物最终会耀眼地站在世界舞台的中间,她的成功注定不平凡,她走过的路将指引一批又一批制药人前行,我们在她的身上会得到宝贵的经验,比如先来一打优秀的Hits,比如,先用DNA编码化合物库筛选一个靶点。” ——编者注 起初Harris等在寻找RIP1抑制剂的时候并没有选择DNA编码化合物库筛选技术,而是对GSK的激酶抑制剂化合物库进行了筛选。筛选得到的一系列苗头化合物属于能够结合DFG-out构象的II型RIP1靶点的抑制剂,如下图2号化合物。但是这个系列的苗头化合物的分子量太大、亲水性弱并且常常脱靶的性质成为进一步优化的障碍。 随后他们采用高通量筛选技术对GSK的化合物库进行筛选,发现了化合物GSK963,如下图3号化合物。这个化合物在体外的数据较好,分子量小,效率高并且具有选择性。但是在啮齿动物中的口服效果不佳,限制了进一步的开发。 
Harris等利用传统筛选技术筛选出的化合物 在经过前两种方法之后,他们尝试了DNA编码化合物库筛选技术,通过三元合成砌块(BB1、BB2和BB3,BB = Building Block)和均分与合并(split-and-pool)的组合化学策略,得到一个包含77亿化合物的庞大的库(见下图)。 
包含77亿DNA编码化合物的化合物库 通过对这个化合物库筛选,最终发现了一系列可以抑制RIP1的benzoxazepinone化合物,如GSK481(如下图)。该化合物的发现过程在2016年2月便发表在JMC上。该系列化合物与已经公开的RIP1抑制剂相比有显著优势,它不仅活性高,而且在456种激酶中仅对RIP1激酶有效,表现出非常优秀的选择性,此外在啮齿动物试验中有较好的口服效果。因此GSK481是一个非常优秀的临床前候选化合物优化起始点。 在对GSK481优化后,Harris等得到了化合物GSK2982772,优化后的化合物性质有了较大的提高。它具有良好的活性数据,具有单一激酶靶点选择性,优秀的临床前PK数据及可延展性,因此它在RIP1抑制剂领域站在了First-in-class的高度,并于2015进入临床实验,现在已经完成了一个适应症的I期临床研究,另有三个适应症处于II期临床研究阶段。 Harris等利用DNA编码化合物库筛选技术筛选&优化后的产物 (GSK2982772是经过GSK481优化得到的产物) 虽然GSK481与GSK2982772在化学结构上很相似,但是无论在发现过程还是在优化过程都做了大量的工作。值得注意的是,在2016年底,J. Med. Chem.编辑部挑选了2015-2016年有代表性的6篇文章,其中一篇即为利用DNA编码化合物库筛选技术发现GSK481的文章(全文请登录成都先导网盘阅读)。 虽然DNA编码化合物库技术已经被多家公司用作新药研发工具,其中不乏制药巨头,但是一直以来都有针对DNA编码化合物库实用性的质疑,Harris等人的工作算是为它正了名。目前全球从事DNA编码化合物库合成及筛选的公司不多,能够规模提供筛选服务的仅有X-chem,nuevolution 及HitGen(成都先导)。随着越来越多的化合物被披露,这一技术开始逐渐来到人们眼前。
|