欢迎您注册蒲公英
您需要 登录 才可以下载或查看,没有帐号?立即注册
x
 
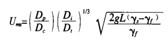
基于QBD观念的设备设计—风量控制及分配 流化气体是流化床中颗粒流化、颗粒干燥热源及带走水分的载体。流化气速是决定颗粒流化状态的重要因素。为了使颗粒流化起来,它应大于临界流化气速,并小于颗粒的带出速度。底喷装置中绝大部分风量是从wurster隔圈内通过,根据隔圈直径、面积和风量大小可计算隔圈内进风气流的线速度。 最小的喷动速度计算Um:  Dc — 流化床扩大段直径; Dp — 床内粒子直径; Di — 导流筒直径; Dt — 流化床层直径; L — 流化床高度; γs — 颗粒比重; γƒ — 流体比重。  (a)床内没有空气流动。 (b)最小流化。蓝色圆圈区域代表颗粒在最小流化速度下的行为。 (c)阶段,颗粒开始振动,与相同蓝圈区域相比,床层孔隙度增加。 (d)沸腾。稀薄和分散的颗粒开始沸腾飞散。 (e)颗粒通过wurster柱做u型的循环运动。 流化气速影响着颗粒成长的形式和速率。增大流化气速,会使单位时间的进气量加大而提高设备的干燥能力。对流化气速的基本要求是:在颗粒间发生碰撞之前其表面的薄液层就应干燥,或者已不足以在颗粒间形成液桥,以阻止颗粒的团聚式生长而得到层式结构。 流化气速高,颗粒流化状态剧烈,颗粒间碰撞的作用力就大,因而有利于破坏颗粒间的液桥,并可强化液膜与空气之间的传热,使团聚难以形成。则颗粒在流化床中主要以包衣方式生长。 但随着流化气速的提高,作用在颗粒上的机械力的加大,剧磨损也变大而且喷嘴喷出的细小雾滴在到达床层前就有可能被干燥,因而损失也增大。另外,这些破碎的小颗粒也有可能与颗粒发生碰撞而结合在一起形成团聚。 ◎风量控制:迦南多功能流化床采用风量无级控制,并优化相关硬件,更进一步对流化均匀性做了优化。  ◎气流分配板:根据物料的粒径大小和装载量,选取不同开孔率的上升床组合下降床气流分配板,(见下图)  ◎流化床导流筒提升装置:采用同时升降导流筒结构,使得每个桶—布风板间隙统一,流化状态均一相同。  ◎气流导流盘:流化床容器底部的空气导流盘对气流分布的均匀性、气流死角和颗粒运动幅度起决定性作用。增加气流导流装置,可将床层上的气流均匀度偏差减少,使气流状态更有序,各导流筒流化状态趋于一致。
实验测试显示,空气导流装置的使用能明显改善气流分布的均匀性。目前迦南科技流化床均采用特殊设计的空气导流装置,使气流呈螺旋状,可将床层上的气流均匀度偏差减少,各导流筒流化状态趋于一致。 流化床风量控制及分配影响着包衣中微丸的预热,包衣,干燥各个步骤。稳定的风量控制和合理的风量分配对流化床包衣匀性和批次重现性的提升起着举足轻重的作用。
|